• Предмет: Алгебра
  • Автор: Valiriia97Kul
  • Вопрос задан 10 лет назад

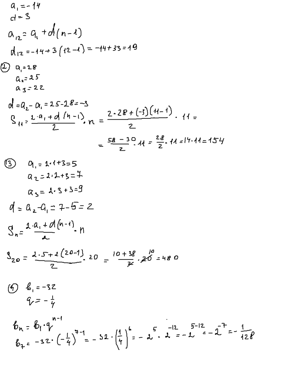
1) Найдите 12 член арифметической прогрессии(An), если А1=-14 и d=3
2)Найдите сумму 11 первых членов арифметической прогрессии: 28;25;22;...
3)Найдите сумму 20 первых членов арифметической последовательности(An), заданное формулой An=2n+3
4)Найдите 7 член геометрической прогрессии(Bn), если B1=-32 и q=минус одной четвертой.
5)Первый член геометрической прогрессии(Bn) равен 3, знаменатель равен 2. Найдите сумму шести первых членов этой прогрессии.
ПОЖАЛУЙСТА ХОТЯ БЫ НЕСКОЛЬКО НОМЕРОВ,ОЧЕНЬ НУЖНО!

Ответы

Ответ дал: esmilya
0
Если понравилось решение - нажимай "спасибо" и "лучший" (рядом с кнопкой "спасибо") :)
Приложения:
Вас заинтересует