Ответы
Ответ дал:
1
Ответ:
Пошаговое объяснение:
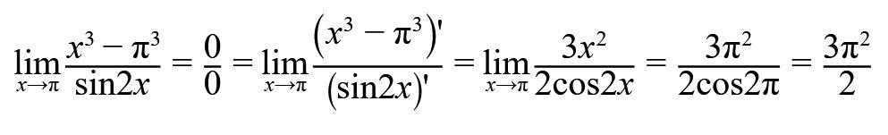
....................................
Приложения:

Вас заинтересует
2 года назад
2 года назад
3 года назад
3 года назад
8 лет назад
8 лет назад
9 лет назад
9 лет назад