можете пожалуйста помочь!! я если что в 6 классе
Приложения:
                    
                            
                    dileka260510:
                    это какое задание?
                
            
                    
                    оно не в книге, нам прыслала учительница с слайдом, если что это уравнение
                
            
                    
                    хорошо
                
            Ответы
                                            Ответ дал: 
                                                                                            
                                                    
                                                
                                                                                    
                                        
                                            
                                                
                                                
                                                
                                                    1
                                                
                                            
                                        
                                    Ответ:
Пошаговое объяснение:
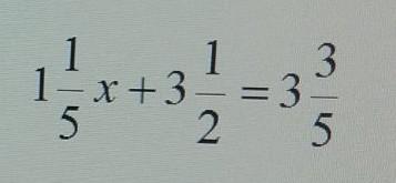
1. 1/5х + 3. 1/2 = 3. 3/5
1. 1/5х = 3. 3/5 - 3. 1/2
1. 1/5х = 3. 6/10 - 3. 5/10
1. 1/5х = 1/10
6/5х = 1/10
х = 1/10 : 6/5
х = 1/10 * 5/6
х = 5/60
х = 1/12
                    
                    СПАСИБО БОЛЬШОЕ
                
            
                                            Ответ дал: 
                                                                                    
                                        
                                            
                                                
                                                
                                                
                                                    1
                                                
                                            
                                        
                                    Ответ:
Вас заинтересует
                
                        2 года назад
                    
                
                        3 года назад
                    
                
                        8 лет назад
                    
                
                        9 лет назад