• Предмет: Алгебра
  • Автор: milana98999
  • Вопрос задан 7 лет назад

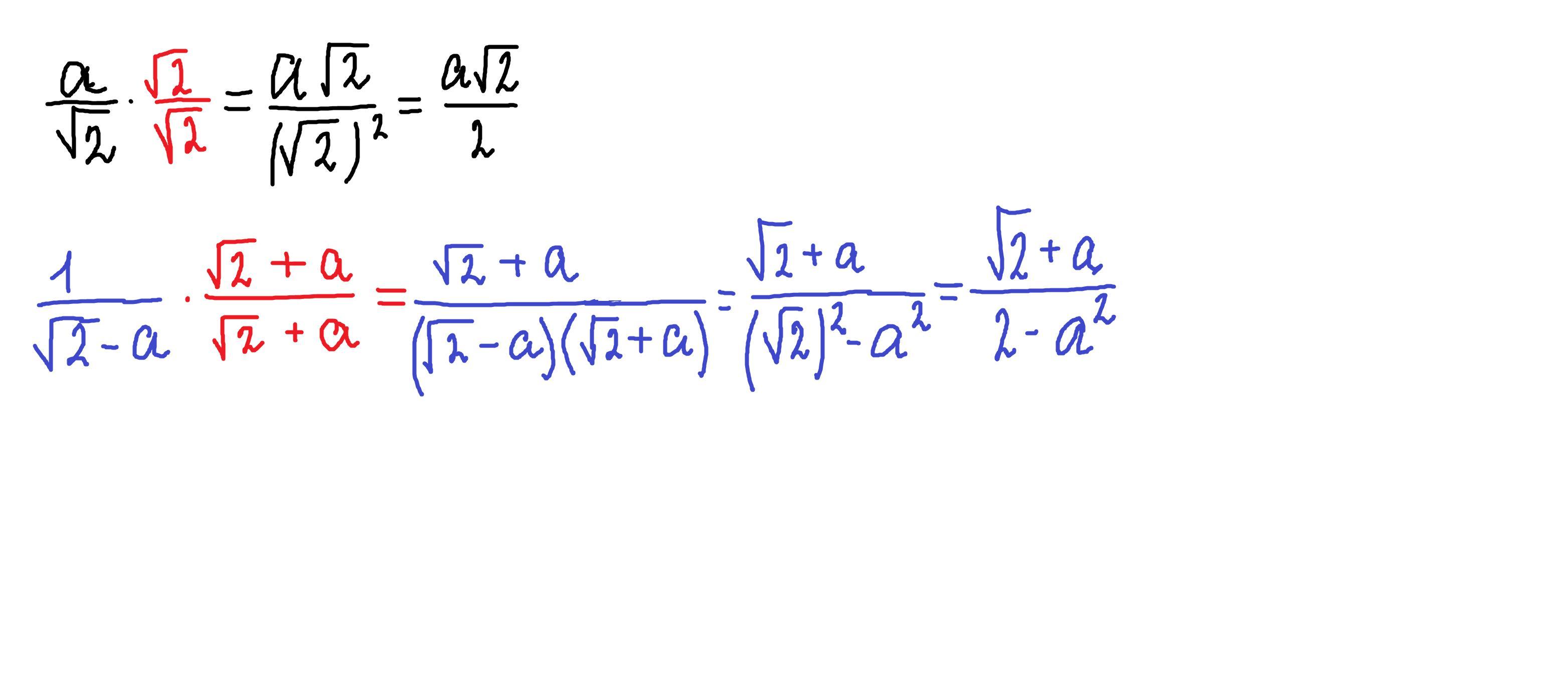
освободитесь от иррациональности в знаменателе дроби
1)а/√2
2)1/√2-а
дам 50 баллов

Ответы

Ответ дал: parus77
1

Ответ:

Объяснение:

смотри решение внизу

Приложения:
Вас заинтересует