Ответы
Ответ дал:
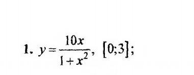
0
Ответ:
Пошаговое объяснение:
////////////////////////////
Приложения:

Вас заинтересует
2 года назад
2 года назад
3 года назад
3 года назад
8 лет назад