• Предмет: Математика
  • Автор: 06avrora
  • Вопрос задан 8 лет назад

ДАЮ 15 БАЛЛОВ
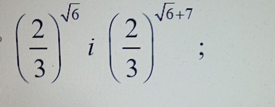
ПОРІВНЯЙТЕ ЧИСЛА

Приложения:

Ответы

Ответ дал: Аноним
1

Ответ:

Чим більша степінь  правильних дробів з одинаковими основами тим значення   отриманого результату буде меньше

(\frac{2}{3} )^\sqrt{6}>(\frac{2}{3} )^\sqrt{6}+7

Пошаговое объяснение:

Вас заинтересует