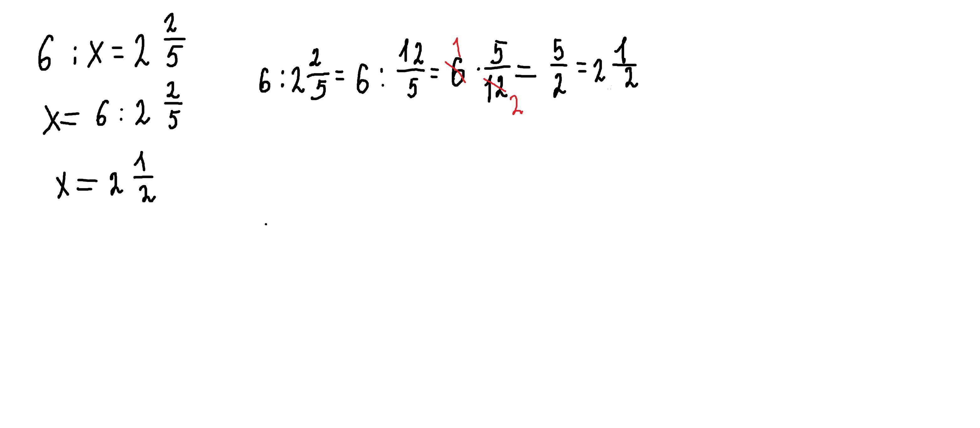
6 : x = 2 2/5
Поможете мне пожалуйста? Даю 33 балла за это решение! Напишите пожалуйста ещё объяснение
irinashvets2605:
спасибо
Ответы
Ответ дал:
14
Ответ:
Пошаговое объяснение:
Ответ дал:
10
Ответ:
х=2,5
Пошаговое объяснение:
Приложения:

\begin{gathered}30=12x\\12x=30\\x=\frac{5}{2} \\x= 2\frac{1}{2} = 2,5\end{gathered}30=12x12x=30x=25x=221=2,5
Вас заинтересует
2 года назад
2 года назад
3 года назад
3 года назад
8 лет назад
8 лет назад
9 лет назад