Ответы
Ответ дал:
2
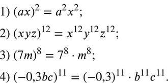
Вот ответ,удачи в учёбе!
Приложения:

Вас заинтересует
2 года назад
3 года назад
8 лет назад
8 лет назад