Ответы
Ответ дал:
0
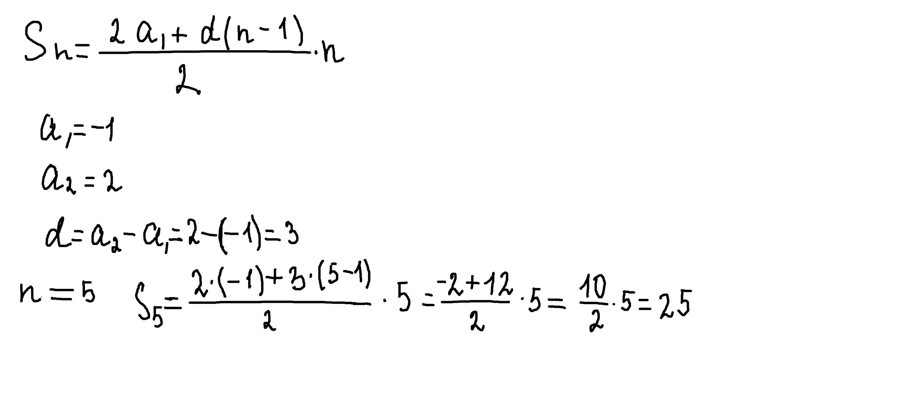
Ответ:
S₅=25
Пошаговое объяснение: решение внизу
Приложения:

Rozali9A:
огромное спасибо, вы мне очень помогли
Вас заинтересует
2 года назад
2 года назад
3 года назад
3 года назад
8 лет назад
9 лет назад
9 лет назад