Ответы
Ответ дал:
1
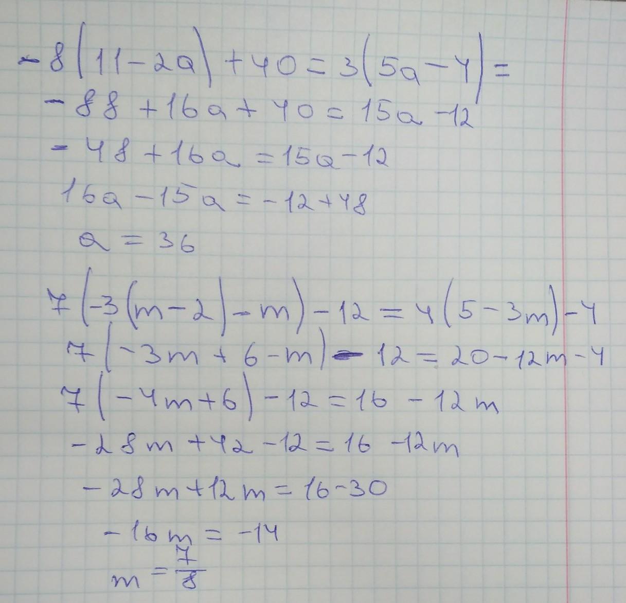
Ответ:
1. а=36
2.m=7/8
Объяснение:
на фото . удачі
Приложения:

Вас заинтересует
2 года назад
2 года назад
3 года назад
3 года назад
8 лет назад
8 лет назад
9 лет назад