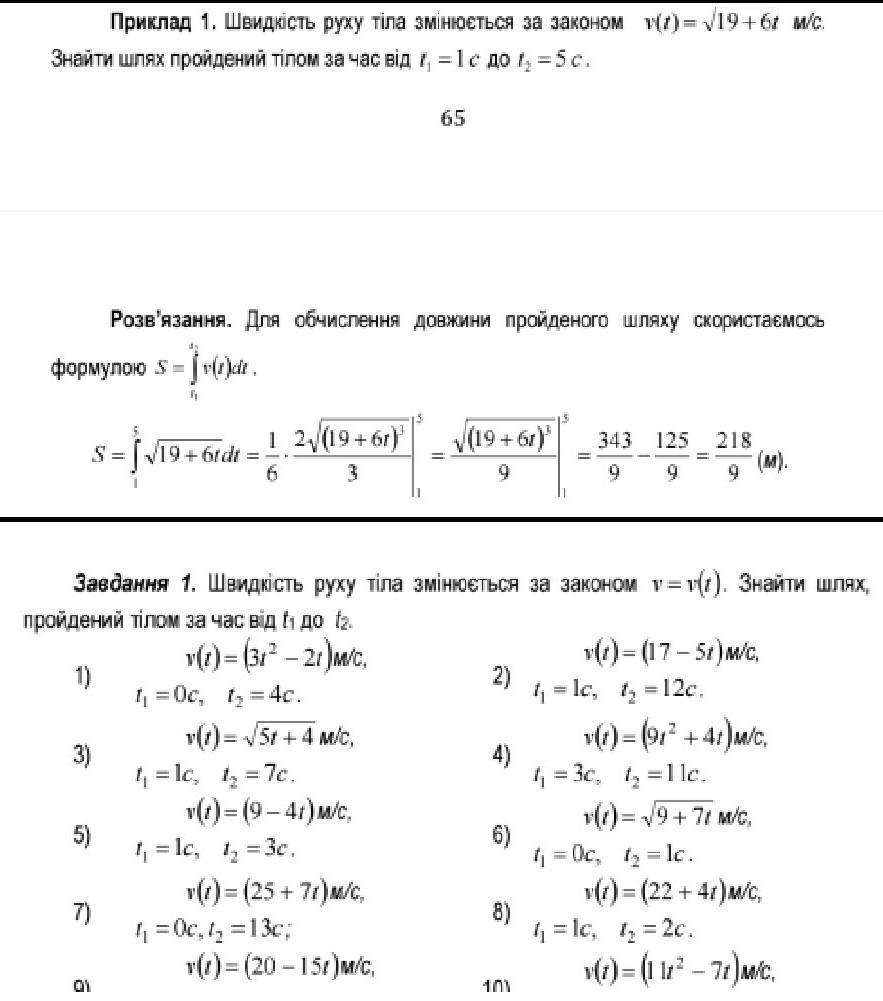
ЗРОБИТИ ЗА ПРИКЛАДОМ 1.
ЗАВДАННЯ 1.
НОМЕР 8)
t1 = 1 c, t2 = 2 c.
v(t) = (11t²-7t) м/с
Приложения:

Ответы
Ответ дал:
1
Пошаговое объяснение:
................................
Приложения:

helpman291818eplz:
Привет! Помоги ещё с одним заданием!!! Пожалуйста))
Вас заинтересует
2 года назад
2 года назад
3 года назад
8 лет назад
8 лет назад