Ответы
Ответ дал:
0
Объяснение:
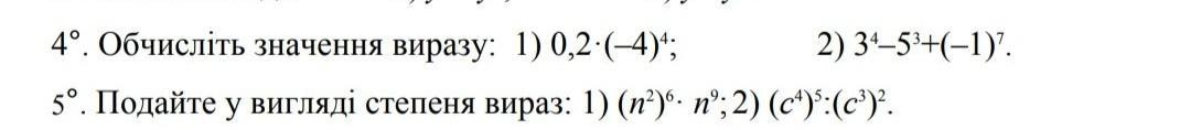
4. 1) 51.2
2) 5
5. 1) n в 21 степени
2) с в 14 степени
Ответ дал:
1
Ответ:
Насколько поняла задание
Объяснение:
Приложения:

Вас заинтересует
2 года назад
2 года назад
3 года назад
8 лет назад
9 лет назад