Ответы
Ответ дал:
1
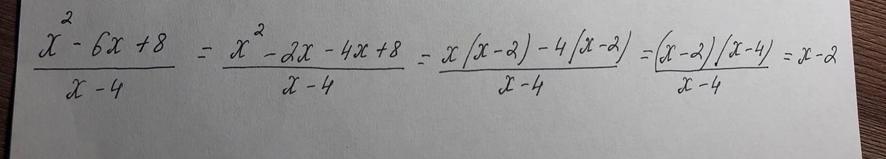
Ответ на фотографии.
Приложения:

grovsig:
реши еще пожалуйста, в профиле
Вас заинтересует
2 года назад
3 года назад
8 лет назад
9 лет назад