Ответы
Ответ дал:
1
Ответ:
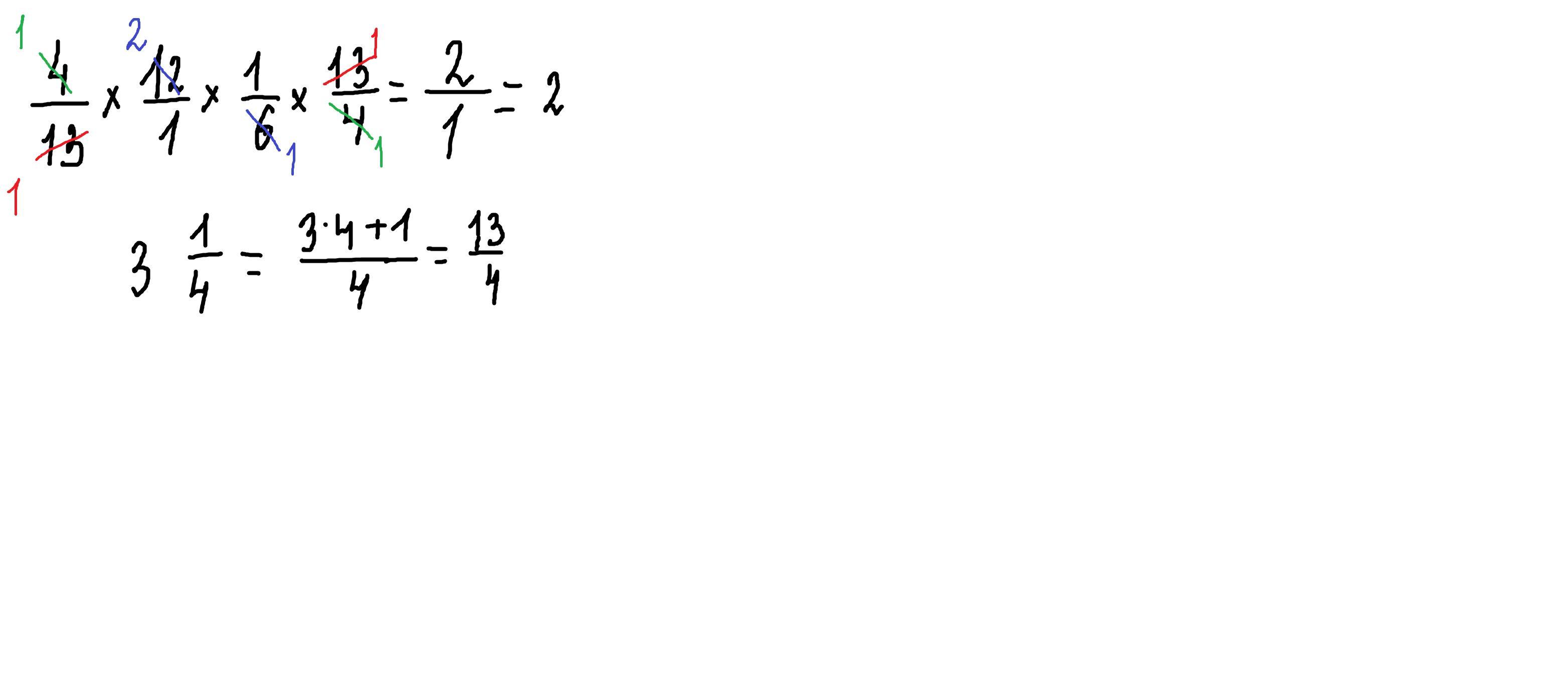
4/13×12×1/6×3 1/4=2
Пошаговое объяснение:
Приложения:

Ответ дал:
1
Ответ:
Фото
Пошаговое объяснение:
Приложения:

Вас заинтересует
2 года назад
3 года назад
3 года назад
8 лет назад