Ответы
Ответ дал:
0
Ответ:
import math
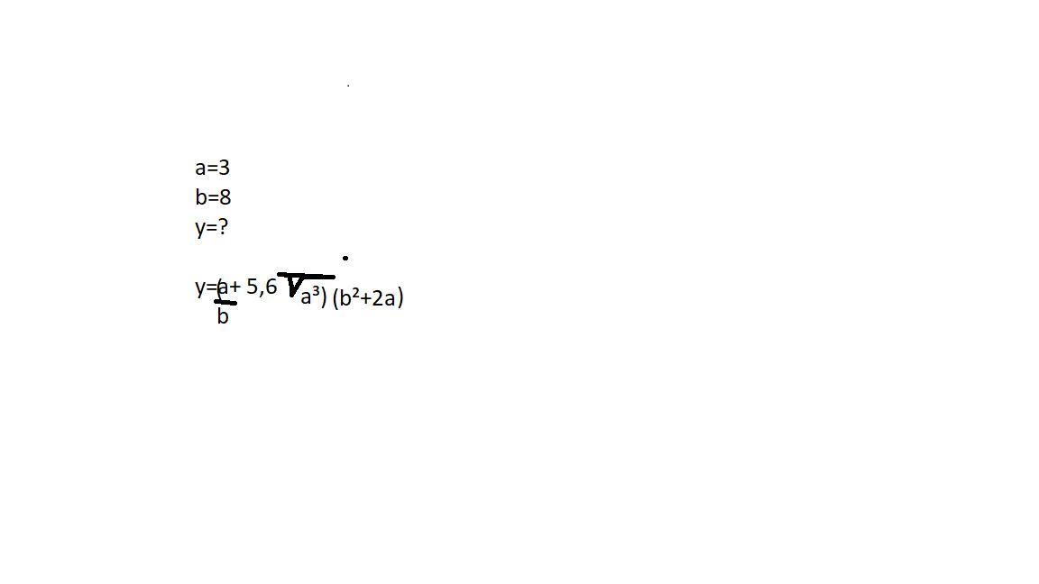
a = 3
b = 8
y = (a/b + 5.6*math.sqrt(a**3))*(b**2 + 2*a)
print(y)
Объяснение:
как я понял ты имел это ввиду
Приложения:


Вас заинтересует
2 года назад
2 года назад
3 года назад
3 года назад
8 лет назад
9 лет назад
9 лет назад