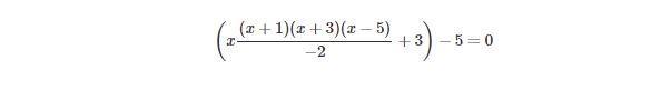
Помогите пожалуйста, при каких значениях переменных значение дроби (x+1)(x+3)(x-5)/-2x+3-5 равно нулю?
Ответы
Ответ дал:
1
Ответ:
x=-3 и x=5
Объяснение:
Нужно чтоб числитель был равен нулю, но знаменатель не был равен нулю.
Получаем (x+1)(x+3)(x-5) = 0
-2x+3-5 не равно 0
Разберемся с тем, когда знаменатель не 0:
-2x - 2 != 0
-2x != 2
x != -1
Теперь с числителем: либо первая скобка ноль, либо вторая, либо третья. Но первая скобка обнуляется при x=-1, что сделает знаменатель равным нулю, нас это не устраивает. Поэтому решениями будут x=-3 и x=5
Ответ дал:
1
Ответ:
Онлайн калькуляторы в помощь
By pythagoras
Приложения:

Вас заинтересует
2 года назад
3 года назад
8 лет назад
8 лет назад
9 лет назад
9 лет назад