• Предмет: Математика
  • Автор: ЯнаДзагоева11
  • Вопрос задан 7 лет назад

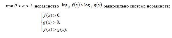
Математика срочноо!! Верно или неверно?

Приложения:

Ответы

Ответ дал: cashpass01
1

Ответ:

Неверно

Пошаговое объяснение:

Если 0<a<1, то знак неравенства в алгебраическом неравенстве противоположен знаку в логарифмическом неравенстве


ЯнаДзагоева11: сябки
Вас заинтересует