Ответы
Ответ дал:
1
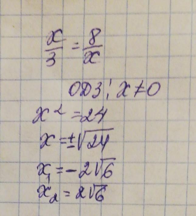
Ответ:ответ на скриншоте
Объяснение:
Приложения:

Ответ дал:
0
Ответ:
Смотри решение на фото..
Приложения:

Вас заинтересует
2 года назад
3 года назад
3 года назад
8 лет назад
8 лет назад