Ответы
Ответ дал:
1
Ответ:
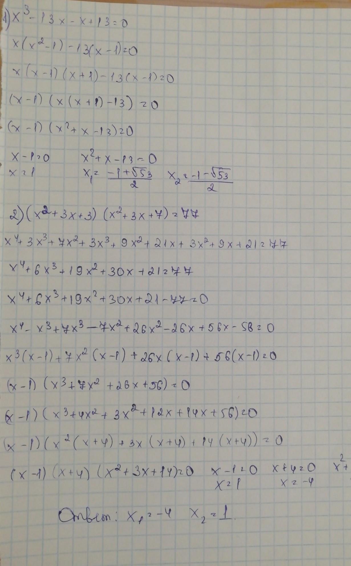
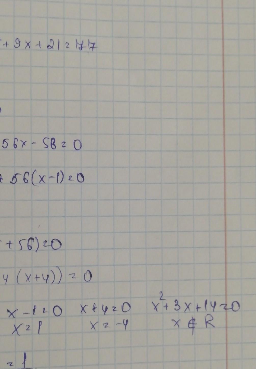
Решение на фото. Во втором уравнении не видно дальше решения(оно на 2 фото)
Объяснение:
......
Приложения:


Вас заинтересует
2 года назад
3 года назад
3 года назад
8 лет назад
8 лет назад