Ответы
Ответ дал:
1
Объяснение:
вроде правильно
удачи!!!
Приложения:

Ответ дал:
2
Ответ:
Объяснение:
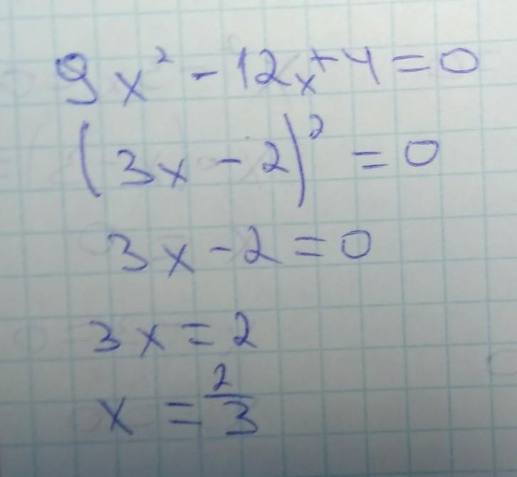
9x²-12x+4=0
Разложите выражение на множители
(3x-2)²=0
Приравнять основание степени к 0
3x-2=0
Перенести константу в правую часть равенства
3x=2
Разделите обе стороны
Решение
Вас заинтересует
2 года назад
3 года назад
3 года назад
8 лет назад
8 лет назад
9 лет назад
9 лет назад