• Предмет: Алгебра
  • Автор: mihailtorlopo
  • Вопрос задан 7 лет назад

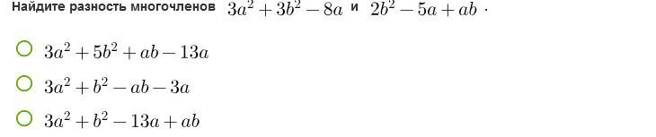
помогите плиз дам 20 балов

Приложения:

elinakavandaa: мало балов
mihailtorlopo: мало мозгов у тебя
elinakavandaa: у тебя не больше !!

Ответы

Ответ дал: sveta57484578
0

Ответ:3a в квадрате плюс б в квадрате плюс аб минус 3 а

Объяснение:

Вас заинтересует