• Предмет: Алгебра
  • Автор: Аноним
  • Вопрос задан 7 лет назад

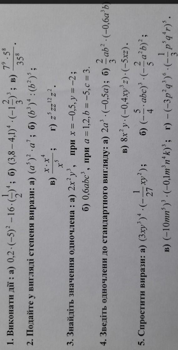
Сделать срочно алгебра 7 клас даю 20б​

Приложения:

Ответы

Ответ дал: Reshal0
0

Ответ:

1) а) 4

б)  - \frac{3}{80}

в) 7

2)а) а¹⁷

б) б²

в) 1

г) z²⁰

3) а)4

б)-97.2

Вас заинтересует