• Предмет: Алгебра
  • Автор: mihailtorlopo
  • Вопрос задан 7 лет назад

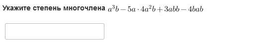
помогите пж дам20балов

Приложения:

Ответы

Ответ дал: vojtenkoefrosena
0

Ответ:

на скока я знаю это наибольшая степень то есть это 3 но я не знаю верно это или нет если не верно Извините.

Ответ дал: maksim16easy
0

Ответ:

 - ab \times (19 {a}^{2}  + b)

Вот

Вас заинтересует