• Предмет: Математика
  • Автор: pintimihail2
  • Вопрос задан 7 лет назад

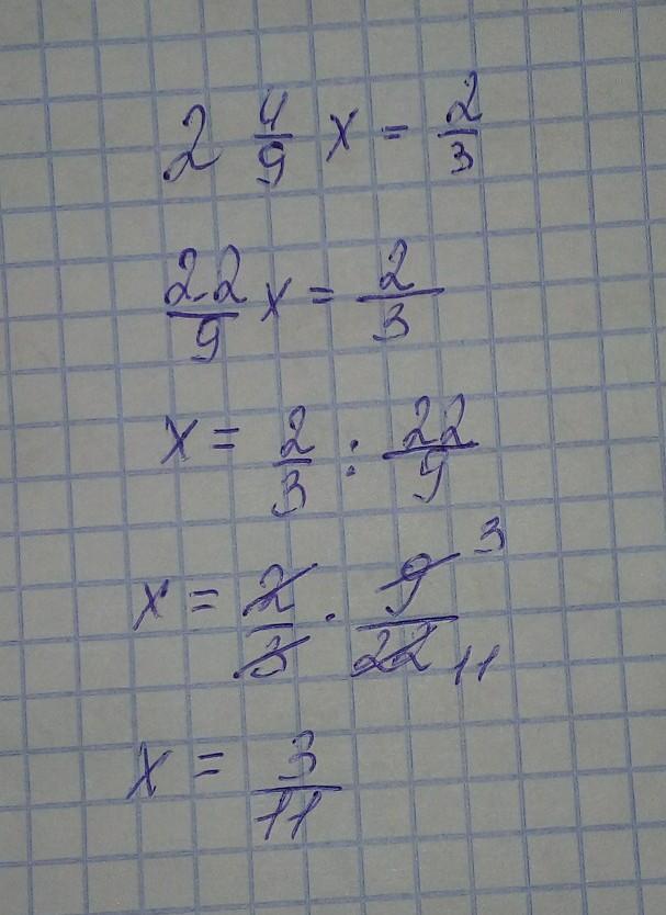
Срочноркшите пожалуйста 2 4/9 х =2/3

Ответы

Ответ дал: Rozali9A
0

Ответ на фото, удачи тебе :)

Приложения:
Вас заинтересует