• Предмет: Математика
  • Автор: xxldifixskam
  • Вопрос задан 7 лет назад

x+2 1/3= -8,8 помогите пожалуйста​


sonakarapetyan0: x+7=-8,8
sonakarapetyan0: X=15.8
sonakarapetyan0: X=-15,8
tatsach: Где вы увидели 7
sonakarapetyan0: 21:3=7‍♀️
tatsach: Это 2ц 1/3
sonakarapetyan0: Ок, я 9 класс

Ответы

Ответ дал: tatsach
0

Ответ:

Пошаговое объяснение:

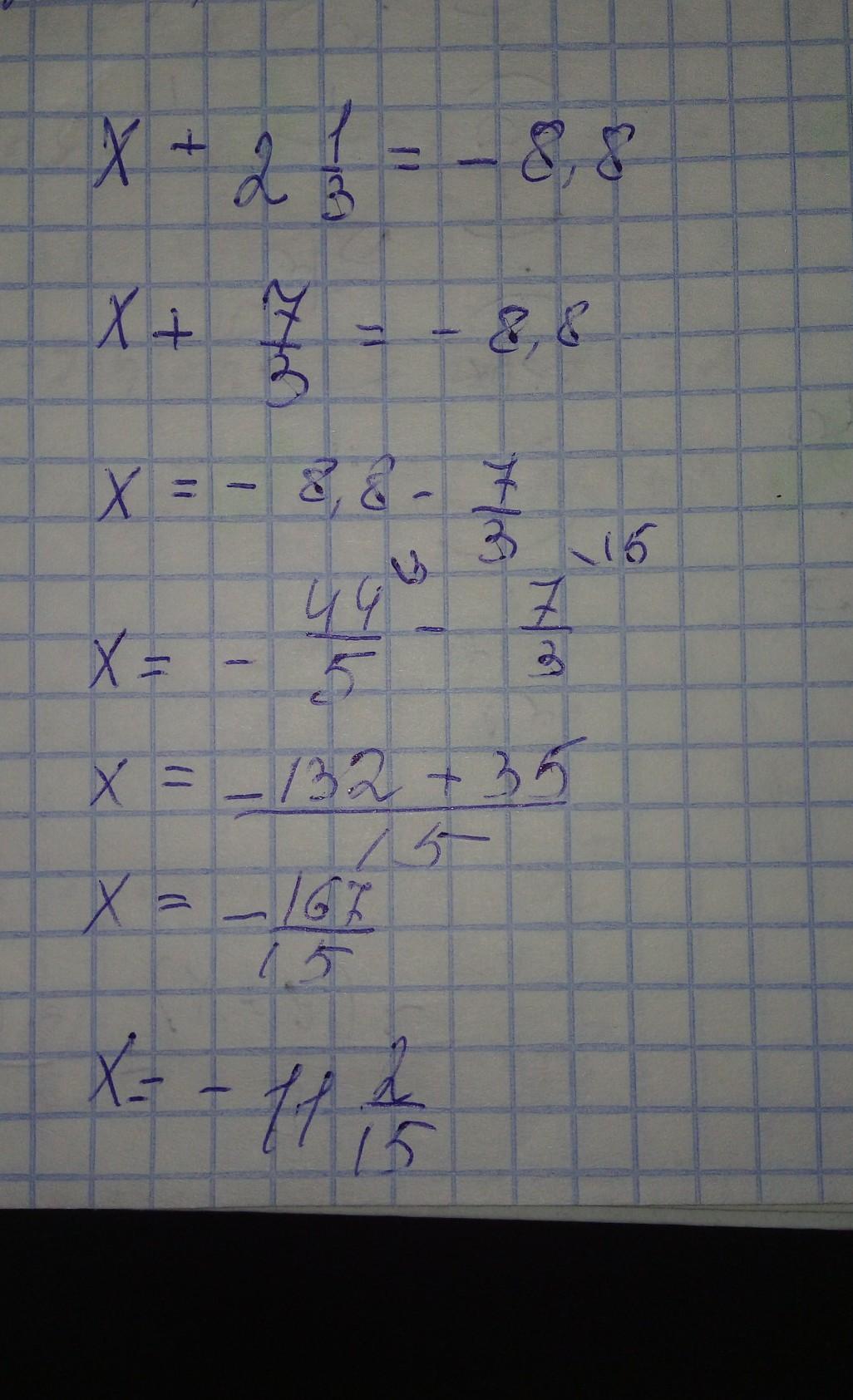
X+2 1/3= -8,8

X+2 1/3= -8 4/5

Х=-8 4/5-2 1/3

Х=-8 12/15-2 5/15

Х=-11 2/15


NordTactick: здравствуйте помогите пожалуйста решить задание в профиле. молю
Ответ дал: Rozali9A
0

Ответ на фото :) удачи тебе

Приложения:
Вас заинтересует
3 года назад