• Предмет: Геометрия
  • Автор: gleb2907soup
  • Вопрос задан 7 лет назад

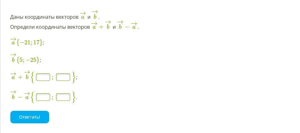
Даны координаты векторов a→ и b→.
Определи координаты векторов a→+b→ и b→−a→.

Приложения:

Ответы

Ответ дал: magzumovamoldir9
0

Ответ:

-21+5:-26 17-5:12 правда

Вас заинтересует