• Предмет: Математика
  • Автор: kyki38
  • Вопрос задан 7 лет назад

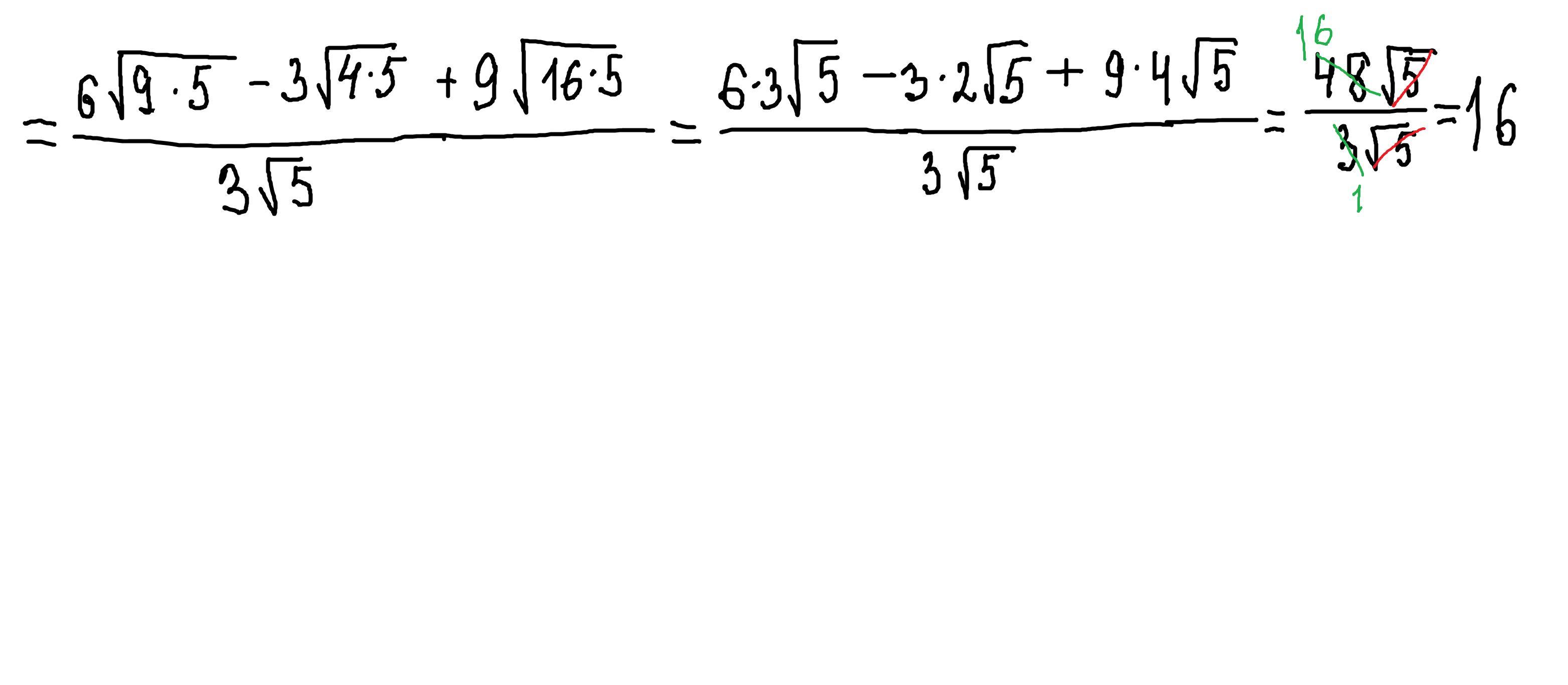
упростите выражение
(6 \sqrt{45}  - 3 \sqrt{20}  + 9 \sqrt{80} ) \div 3 \sqrt{5}

Ответы

Ответ дал: parus77
2

Ответ:

16

Пошаговое объяснение:

РЕШЕНИЕ ВНИЗУ

Приложения:

Rozali9A: у меня получилось 80 почему-то
versachexdior: помогите мне тоже((
parus77: Rozali, где можно посмотреть ваше решение?
Rozali9A: оно тут опубликовано, просто ошибку найти не могу
Вас заинтересует