кто первый правильно ответит на того подпишусь:}
Приложения:

kulakovskavik:
только А?
Ответы
Ответ дал:
1
Ответ:
я надеюсь ты поймёшь чё нить)
Приложения:

Ответ дал:
2
Ответ:
Пошаговое объяснение:
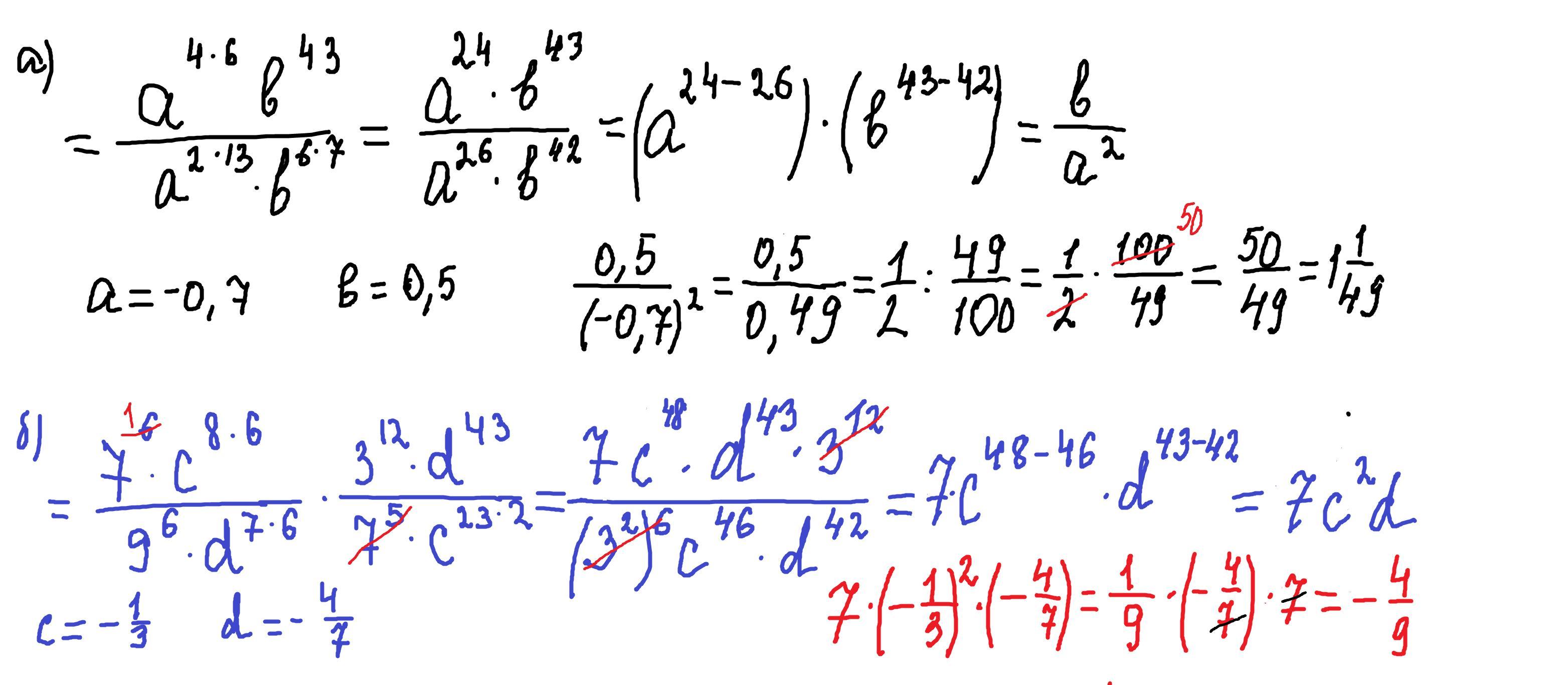
решение внизу
Приложения:

Вас заинтересует
2 года назад
2 года назад
3 года назад
8 лет назад
9 лет назад