• Предмет: Математика
  • Автор: tim2k1812
  • Вопрос задан 7 лет назад

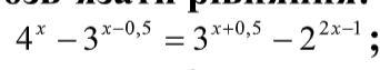
Розв'язати рівняння.Уровень рівняння 10 клас.В фотомач не вирішується.

Приложения:

Ответы

Ответ дал: tamarabernukho
1

Ответ:

1,5

Пошаговое объяснение:

......................

Приложения:
Вас заинтересует