• Предмет: Алгебра
  • Автор: Аноним
  • Вопрос задан 8 лет назад

Помогите пожалуйста решить ​

Приложения:

Ответы

Ответ дал: NNNLLL54
1

Ответ:

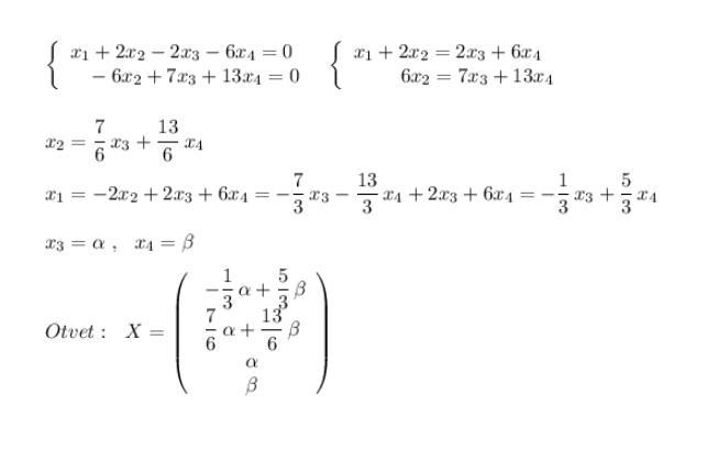
\left\{\begin{array}{l}2x_1-2x_2+3x_3+x_4=0\\5x_1-2x_2+4x_3-4x_4=0\\x_1+2x_2-2x_3-6x_4=0\end{array}\right\\\\\\\left(\begin{array}{cccc}2&-2&3&1\\5&-2&4&-4\\1&2&-2&-6\end{array}\right)\sim \ \ \left(\begin{array}{cccc}1&2&-2&-6\\2&-2&3&1\\5&-2&4&-4\end{array}\right)\sim \\\\1str\cdot (-2)+2str\ \ ;\ \ 1str\cdot (-5)+3str\\\\\sim \left(\begin{array}{cccc}1&2&-2&-6\\0&-6&7&13\\0&-12&14&26\end{array}\right)\sim \ \ 2str\cdot (-2)+3str

\sim \left(\begin{array}{cccc}1&2&-2&-6\\0&-6&7&13\\0&0&0&0\end{array}\right)\ \sim \left(\begin{array}{cccc}1&2&-2&-6\\0&-6&7&13\end{array}\right)\\\\\\x_1\ ,\ x_2\ -\ bazisnue\ neizvestnue \ \ ,\ \ x_3\ ,\ x_4\ -\ svobodnue\ neizvestnue

\left\{\begin{array}{l}x_1+2x_2-2x_3-6x_4=0\\{}\ \ \, -6x_2+7x_3+13x_4=0\end{array}\right\ \ \left\{\begin{array}{l}x_1+2x_2=2x_3+6x_4\\{}\ \ \ \ \ \ \ 6x_2=7x_3+13x_4\end{array}\right\\\\\\x_2=\dfrac{7}{6}\, x_3+\dfrac{13}{6}\, x_4\\\\x_1=-2x_2+2x_3+6x_4=-\dfrac{7}{3}\, x_3-\dfrac{13}{3}\, x_4+2x_3+6x_4=-\dfrac{1}{3}\, x_3+\dfrac{5}{3}\, x_4\\\\x_3=\alpha \ ,\ \ x_4=\beta

Otvet:\ \ X=\left(\begin{array}{ccc}\ -\dfrac{1}{3}\, \alpha +\dfrac{5}{3}\, \beta \\\dfrac{7}{6}\, \alpha +\dfrac{13}{6}\, \beta \\\alpha \\\beta \end{array}\right)  

Приложения:

Аноним: спасибо большое
Аноним: извините, можете скриншот добавить, у меня опять красный , пожалуйста, извините чесно это последний раз
Вас заинтересует