• Предмет: Алгебра
  • Автор: batjokesss
  • Вопрос задан 7 лет назад

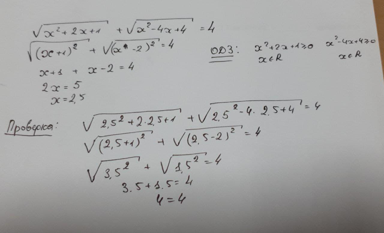
помогите пожалуйста, мне нужно ответ и разъяснение как к этому прийти, решение короче даю 15 баллов

Приложения:

Ответы

Ответ дал: ReMiDa
1

Ответ:

а)2

б)2,5

Объяснение:

Приложения:
Вас заинтересует