Ответы
Ответ дал:
1
Ответ:
1
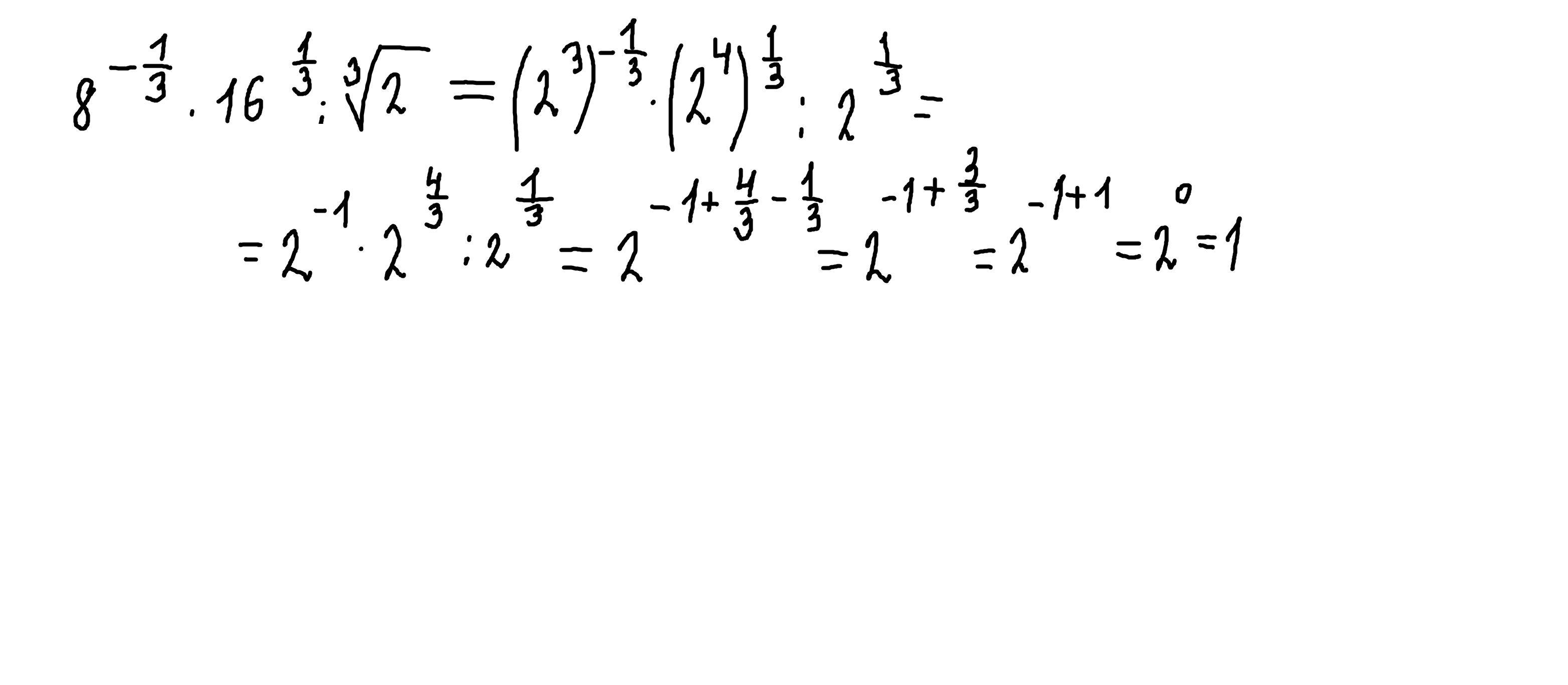
Объяснение:
решение внизу
при возведении степени в степень показатели перемножаются,при умножении степеней с одинаковым основанием показатели складываются,при делении -вычитаются
Приложения:

Аняff:
спасибо!!! можешь помочь с ещё одним?
Ответ дал:
0
Вас заинтересует
2 года назад
2 года назад
3 года назад
3 года назад
8 лет назад
9 лет назад