• Предмет: Алгебра
  • Автор: chesba
  • Вопрос задан 10 лет назад

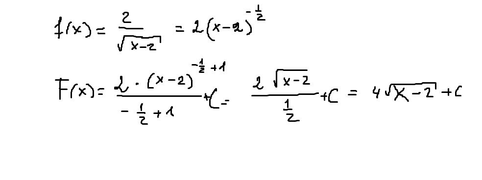
первообразная 2/корень из x-2

Ответы

Ответ дал: Аноним
0
f (x) = 2 * (x-2)^( - 1/2) 
F(x) = 2 * √(x-2)/0,5 = 4√(x-2) + С
Ответ дал: esmilya
0
Если понравилось решение - нажимай "спасибо" и "лучший" (рядом с кнопкой "спасибо") :)
Приложения:
Вас заинтересует