Ответы
Ответ дал:
1
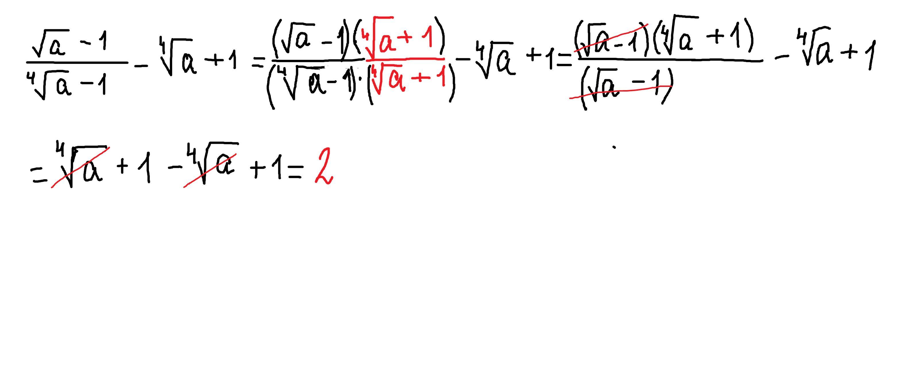
Ответ на фотографии.
Приложения:

Ответ дал:
0
Ответ:
Пошаговое объяснение:
решение смотри внизу
Приложения:

Вас заинтересует
2 года назад
3 года назад
8 лет назад
8 лет назад
9 лет назад