• Предмет: Алгебра
  • Автор: sinus348
  • Вопрос задан 7 лет назад

мені потрібно здавати до завтра​

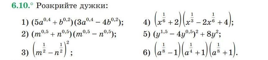
Приложения:

Ответы

Ответ дал: NNNLLL54
0

Ответ:

(5a^{0,4}+b^{0,2})(3a^{0,4}-4b^{0,2})=15a^{0,8}-17a^{0,4}\, b^{0,2}-4b^{0,4}\\\\\\(m^{0,5}+n^{0,5})(m^{0,5}-n^{0,5})=m-\\\\\Big(m^{\frac{1}{2}}-n^{\frac{1}{2}}\Big)^2=m-2m^{\frac{1}{2}}\, n^{\frac{1}{2}}+n\\\\\Big(x^{\frac{1}{6}}+2\Big)\Big(x^{\frac{1}{3}}-2x^{\frac{1}{6}}+4\Big)=x^{\frac{1}{2}}+8\\\\\Big(y^{1,5}-4y^{0,5}\Big)^2+8y^2=y^3-8y^2+16y+8y^2=y^3+16y

\Big(a^{\frac{1}{8}}-1\Big)\Big(a^{\frac{1}{4}}+1\Big)\Big(a^{\frac{1}{8}}+1\Big)=\underbrace{\Big(a^{\frac{1}{8}}-1\Big)\Big(a^{\frac{1}{8}}+1\Big)}\Big(a^{\frac{1}{4}}+1\Big)=\\\\=\Big(a^{\frac{1}{4}}-1\Big)\Big(a^{\frac{1}{4}}+1\Big)=a^{\frac{1}{2}}-1    

Вас заинтересует