• Предмет: Алгебра
  • Автор: Аноним
  • Вопрос задан 7 лет назад

Помогите пожалуйста решить , номер 8 ​

Приложения:

Ответы

Ответ дал: NNNLLL54
1

Ответ:

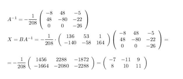
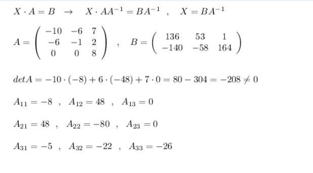
X\cdot A=B\ \ \to \ \ \ X\cdot AA^{-1}=BA^{-1}\ \ ,\ \ \ X=BA^{-1}\\\\A=\left(\begin{array}{ccc}-10&-6&7\\-6&-1&2\\0&0&8\end{array}\right)\ \ ,\ \ \ B=\left(\begin{array}{ccc}136&53&1\\-140&-58&164\end{array}\right)\\\\\\detA=-10\cdot (-8)+6\cdot (-48)+7\cdot 0=80-304=-208\ne 0\\\\A_{11}=-8\ \ ,\ \ A_{12}=48\ \ ,\ \ A_{13}=0\\\\A_{21}=48\ \ ,\ \ A_{22}=-80\ \ ,\ \ A_{23}=0\\\\A_{31}=-5\ \ ,\ \ A_{32}=-22\ \ ,\ \ A_{33}=-26

A^{-1}=-\dfrac{1}{208}\left(\begin{array}{ccc}-8&48&-5\\48&-80&-22\\0&0&-26\end{array}\right)\\\\X=BA^{-1}=-\dfrac{1}{208}\cdot \left(\begin{array}{ccc}136&53&1\\-140&-58&164\end{array}\right)\left(\begin{array}{ccc}-8&48&-5\\48&-80&-22\\0&0&-26\end{array}\right)=\\\\\\=-\dfrac{1}{208}\left(\begin{array}{ccc}1456&2288&-1872\\-1664&-2080&-2288\end{array}\right)=\left(\begin{array}{ccc}-7&-11&9\\8&10&11\end{array}\right)

Приложения:

Аноним: спасибо большое
NNNLLL54: скрин сбросила
Аноним: вы лучшая !!!!!
Аноним: емли у вас есть время, помогите еще раз пожалуйста
Вас заинтересует