Ответы
Ответ дал:
0
Ответ:
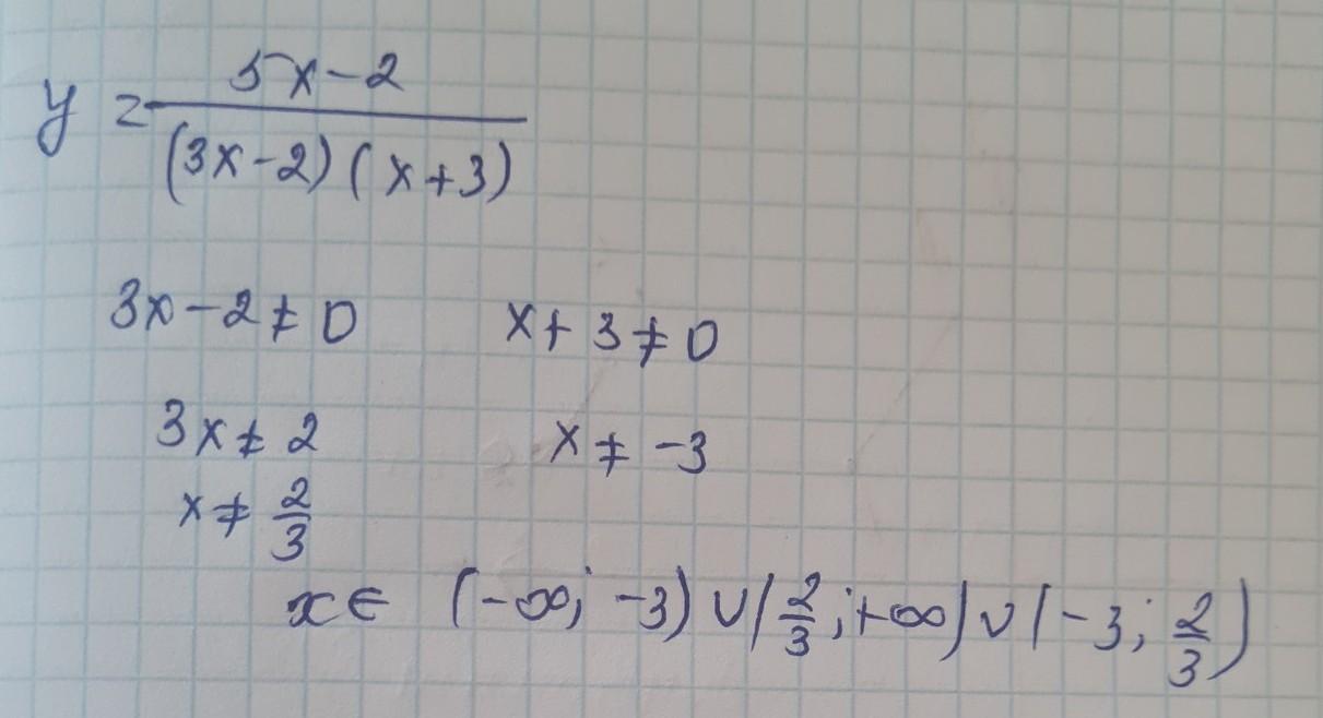
1) 3x-2≠0
3x≠2
x≠2/3
2) x+3≠0
x≠-3
(-бесконечность; -3) и (-3;2/3) и (2/3; + бесконечности)
Приложения:

Вас заинтересует
2 года назад
2 года назад
3 года назад
3 года назад
8 лет назад
8 лет назад