• Предмет: Математика
  • Автор: anastasiabyrkynova
  • Вопрос задан 7 лет назад

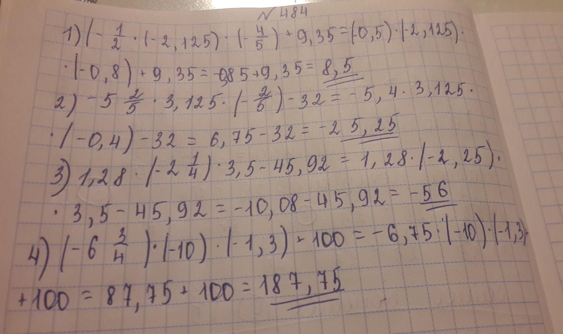
484. Запишите обыкновенную дробь в виде десятичной плиссссс

Приложения:

Ответы

Ответ дал: Пеппер
7

Пошаговое объяснение:

Приложения:

sezim4838: пожешь момочь пж?
Аноним: и мне
Ответ дал: goonnata19
0

1)=8,5

2)-25,25

4)-56

5)187,75

Приложения:
Вас заинтересует