• Предмет: Алгебра
  • Автор: Mercury22
  • Вопрос задан 8 лет назад

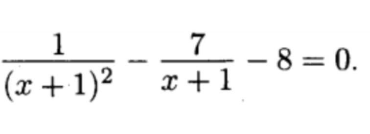
решите уравнение, пожалуйста​

Приложения:

Ответы

Ответ дал: spasitelbmolodezhi
1

\frac{1}{(x+1)^2}-\frac{7}{x+1} -8=0\\\frac{1}{(x+1)^2}- \frac{7x+7}{(x+1)^2}-\frac{8x^2+16x+8}{(x+1)^2}=0\\\frac{1-7x-7-8x^2-16x-8}{(x+1)^2}=0\\\frac{-8x^2-23x-14}{(x+1)^2}=0   \\\frac{-(x+2)(8x+7)}{(x+1)^2}=0\\x_{1}=-2, x_{2}=-\frac{7}{8}

Вас заинтересует