аааа, помогите, плиз, срочно, с объяснением, желательно
Приложения:

bena20193:
а какое задание?
Ответы
Ответ дал:
1
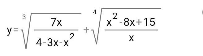
Ответ:
Объяснение:
1) знаменатель первой дроби ≠0
4-3x-x²≠0
если бы x²+3x-4=0 то по теореме Виета x=1 ; x=-4
таким образом x≠1 ; x≠-4
2) знаменатель второй дроби x≠0
3) подкоренное выражение второго корня ≥0
(x²-8x+15)/x≥0
корни числителя по теореме Виета 3 и 5 , корень знаменателя 0
Решение неравенство методом интервалов
------------(0)-----------[3]----------[5]--------------
(-) (+) (-) (+)
x∈ (0;3]∪[5;+∞)
c учетом того что x≠1 ; x≠-4
x∈ (0;1)∪(1;3]∪[5;+∞)
Вас заинтересует
2 года назад
2 года назад
3 года назад
3 года назад
8 лет назад
8 лет назад