Ответы
Ответ дал:
0
Ответ:
1) -2;3
2) -1
3) -2
4) -1,5
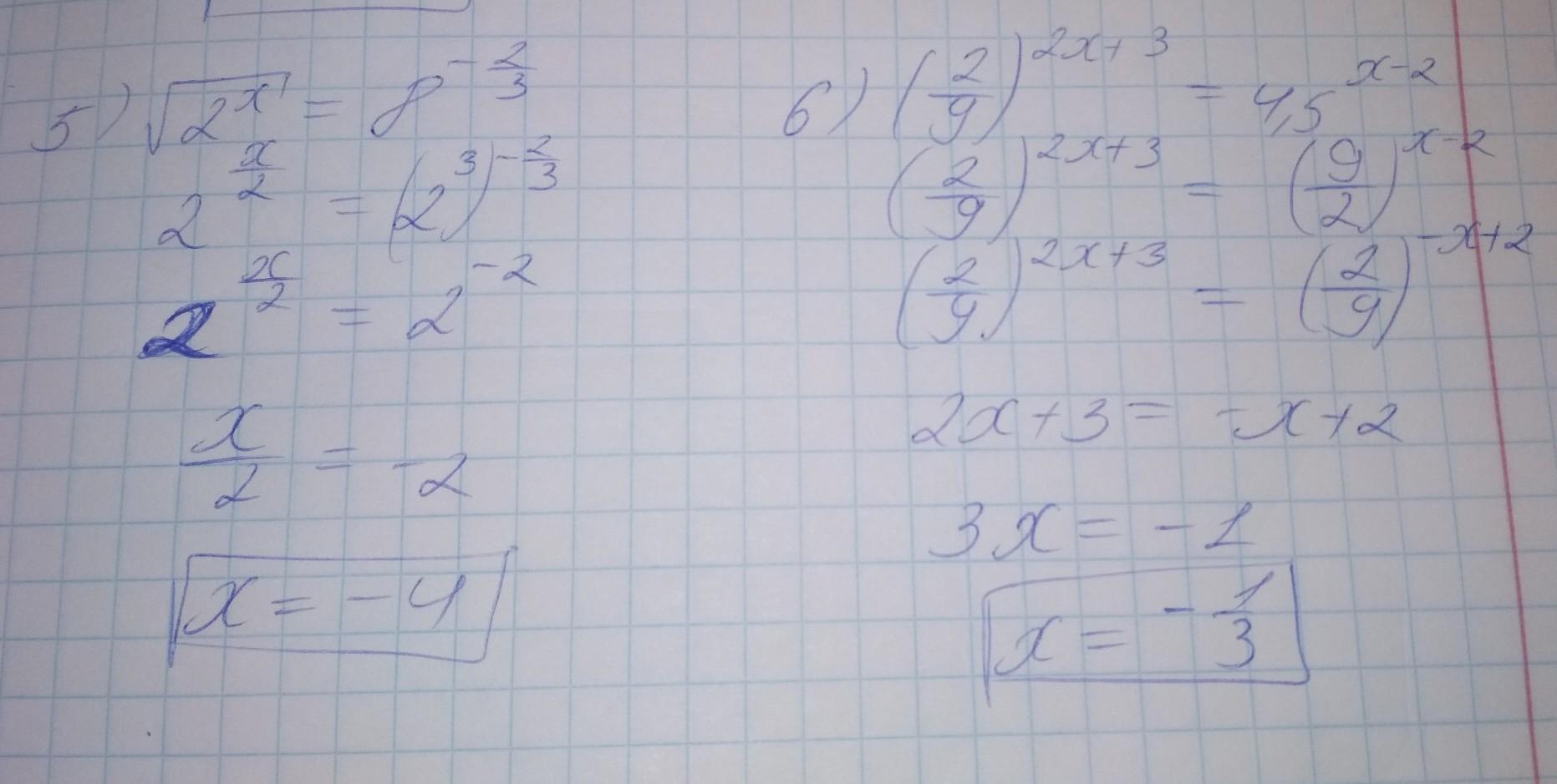
5) -4
6) -1/3
Приложения:



katrineeeeeeeee721:
А как понять что в первом -2 и 3? Через дискриминант?
Вас заинтересует
2 года назад
2 года назад
3 года назад
3 года назад
8 лет назад
9 лет назад