• Предмет: Алгебра
  • Автор: KApLa4
  • Вопрос задан 7 лет назад

Седьмое задания пожалуста очень срочно

Приложения:

Ответы

Ответ дал: maksimnavojcik509
0

Ответ:

Вроде так

Объяснение:

Охоооохоооооооохохоохх

Приложения:
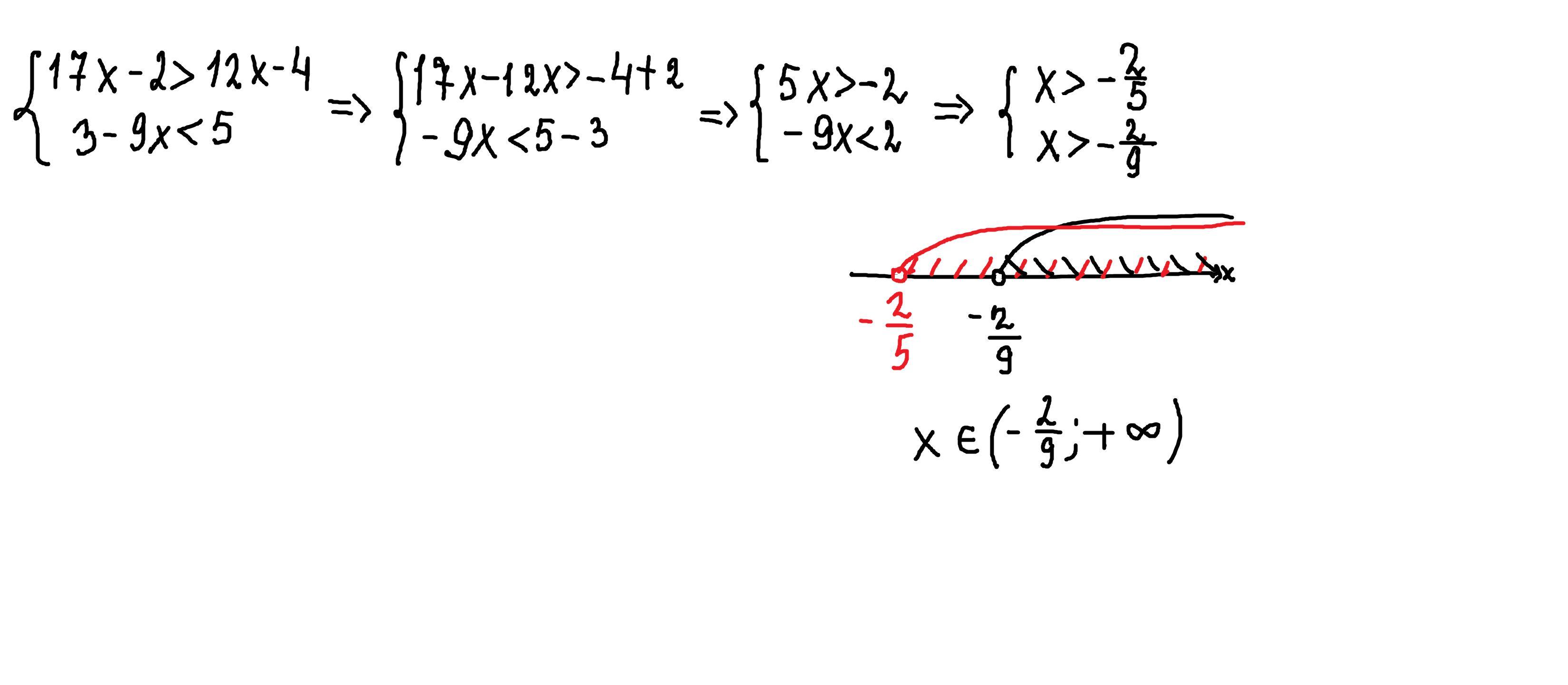
Ответ дал: parus77
0

Ответ:

х∈(-2\9;+∞)

Объяснение:

Приложения:
Вас заинтересует