• Предмет: Алгебра
  • Автор: sinus348
  • Вопрос задан 7 лет назад

мені потрібно здавати до завтра​

Приложения:

Ответы

Ответ дал: NNNLLL54
1

Ответ:

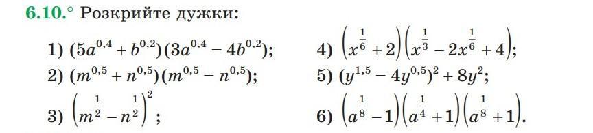
(5a^{0,4}+b^{0,2})(3a^{0,4}-4b^{0,2})=15a^{0,8}-20a^{0,4}\, b^{0,2}+3a^{0,4}b^{0,2}-4b^{0,4}=\\\\=15a^{0,8}-17a^{0,4}\, b^{0,2}-4b^{0,4}\\\\\\(m^{0,5}+n^{0,5})(m^{0,5}-n^{0,5})=(m^{0,5})^2-(n^{0,5})^2=m-n\\\\\\\Big(m^{\frac{1}{2}}-n^{\frac{1}{2}}\Big)^2=m-2m^{\frac{1}{2}}\, n^{\frac{1}{2}}+n\\\\\\\Big(x^{\frac{1}{6}}+2\Big)\Big(x^{\frac{1}{3}}-2x^{\frac{1}{6}}+4\Big)=(x^{\frac{1}{6}})^3+2^3=x^{\frac{1}{2}}+8\\\\\\\Big(y^{1,5}-4y^{0,5}\Big)^2+8y^2=y^3-8y^2+16y+8y^2=y^3+16y

\Big(a^{\frac{1}{8}}-1\Big)\Big(a^{\frac{1}{4}}+1\Big)\Big(a^{\frac{1}{8}}+1\Big)=\underbrace{\Big(a^{\frac{1}{8}}-1\Big)\Big(a^{\frac{1}{8}}+1\Big)}\Big(a^{\frac{1}{4}}+1\Big)=\\\\=\Big(a^{\frac{1}{4}}-1\Big)\Big(a^{\frac{1}{4}}+1\Big)=a^{\frac{1}{2}}-1  

Используемые формулы:

(a-b)(a+b)=a^2-b^2\ \ ,\ \ \ (a\pm b)^2=a^2\pm 2ab+b^2\ \ ,\\\\(a+b)(a^2-ab+b^2)=a^3+b^3\ \ ,\ \ \ a^{n}\cdot a^{k}=a^{n+k}\ \ ,\ \ (a^{n})^{k}=a^{nk}\ .  

Вас заинтересует