• Предмет: Математика
  • Автор: td8rj4gcs9
  • Вопрос задан 8 лет назад

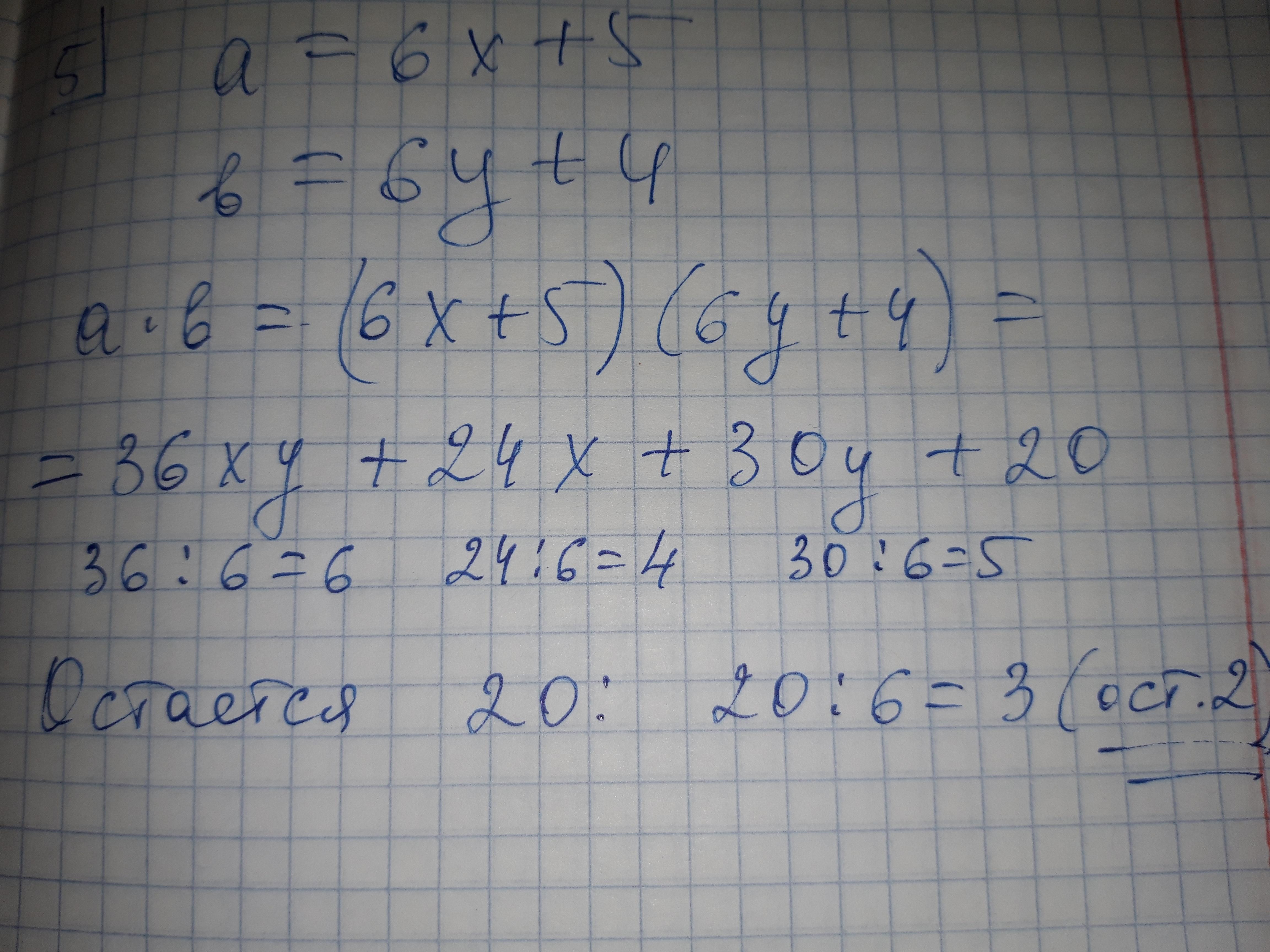
Номер 5!!!!!!!НАДЕЮСЬ НА БЫСТРОЕ РЕШЕНИЕЕЕН ДАМ 10 баллов

Приложения:

Ответы

Ответ дал: elvira1777
1

Ответ:

Пошаговое объяснение:

На фото

Приложения:
Вас заинтересует