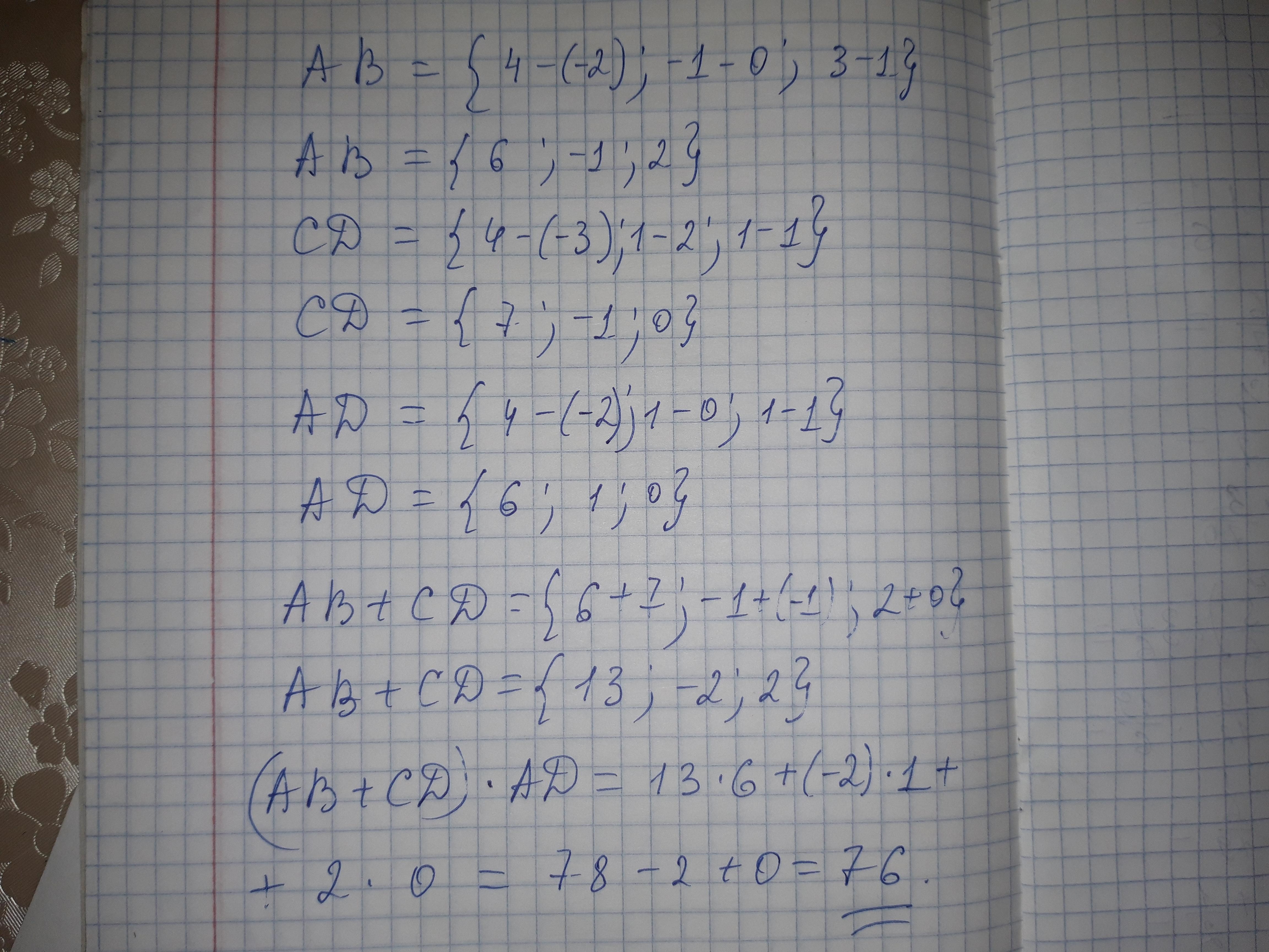
А(-2;0;1); В(4;-1;3); С(-3;2;1); D(4;1;1)
(AB+CD)*AD
dnepr1:
Надо было оговорить в задании: (AB+CD)*AD это какое произведение: векторное или скалярное?
Ответы
Ответ дал:
1
Ответ:
Объяснение:
На фото
Приложения:

Вас заинтересует
2 года назад
3 года назад
8 лет назад
8 лет назад