Ответы
Ответ дал:
1
Ответ дал:
1
Ответ:
Объяснение:
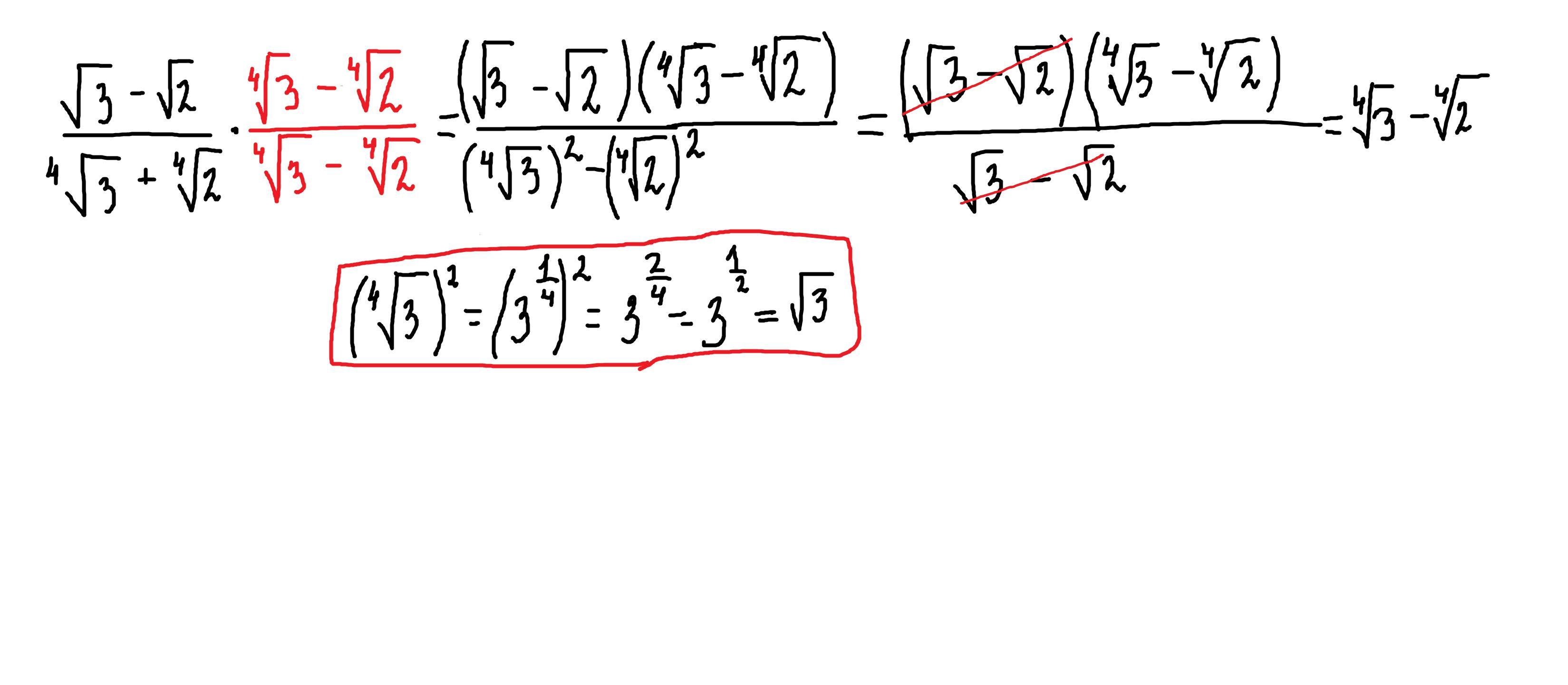
решение внизу,я только упростила,вы не написали задание.
Приложения:

Вас заинтересует
2 года назад
2 года назад
3 года назад
8 лет назад
8 лет назад
9 лет назад