Ответы
Ответ дал:
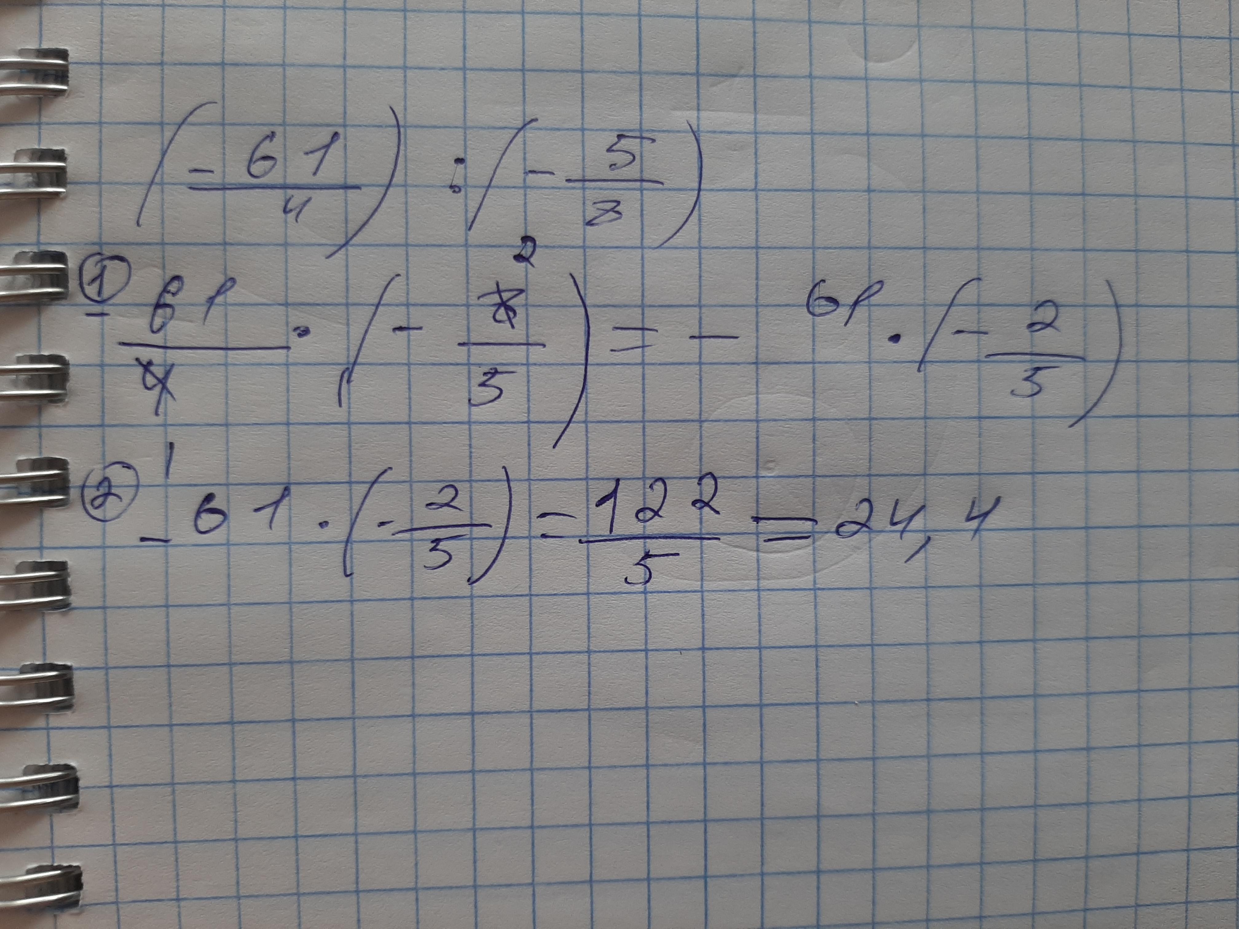
1
Ответ:
Пошаговое объяснение:
Приложения:

maxepic588:
ты дурачок? -6 1/4 между 6 и 1/4 пробел это значит (6 целых 1/4:(-5/8)
Ответ дал:
1
Ответ:
Пошаговое объяснение:
(-25/4)/(-5/8)
если (-)/(-)=+
тогда /
=
*
=
= 10
Вас заинтересует
2 года назад
3 года назад
3 года назад
8 лет назад
8 лет назад
9 лет назад