• Предмет: Алгебра
  • Автор: Margalup
  • Вопрос задан 8 лет назад

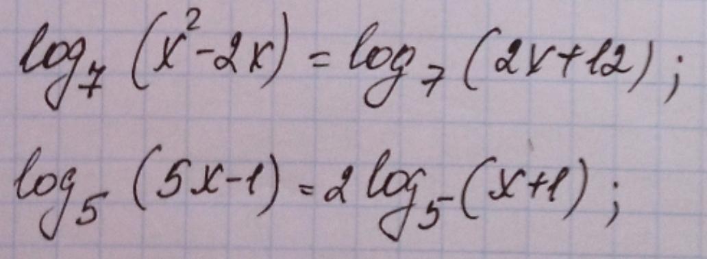
Нужно решить уравнение
Помогите пожалуйста

Приложения:

Ответы

Ответ дал: XUUXUUTUT
1

1. x1=-2, x2=6

2. x1=1, x2=2

Приложения:
Ответ дал: table123
0

Ответ:

Объяснение:

1,    x^2 -2x=2x+12,  ОДЗ:  (1)  x^2-2x>0,   (2) 2x+12>0

  x^2-4x-12=0, корни  -2 и 6,

решаем  (1)  x(x-2)>0,   ___+__(0)___-___(2)___+__,

решаем  (2)  x>-6,  ОДЗ:  (-6;0) и (2;+Б),  оба корня подходят,

отв. -2 и 6

2.   ОДЗ    5x-1>0  u  x+1>0,   x>1/5  u x>-1,  ОДЗ:  x>1/5

5x-1=(x+1)^2,  5x-1=x^2+2x+1,   x^2-3x+2=0,  корни  1  и 2,

ответ:  1 и2

Вас заинтересует