• Предмет: Алгебра
  • Автор: KorolAnastasua
  • Вопрос задан 10 лет назад

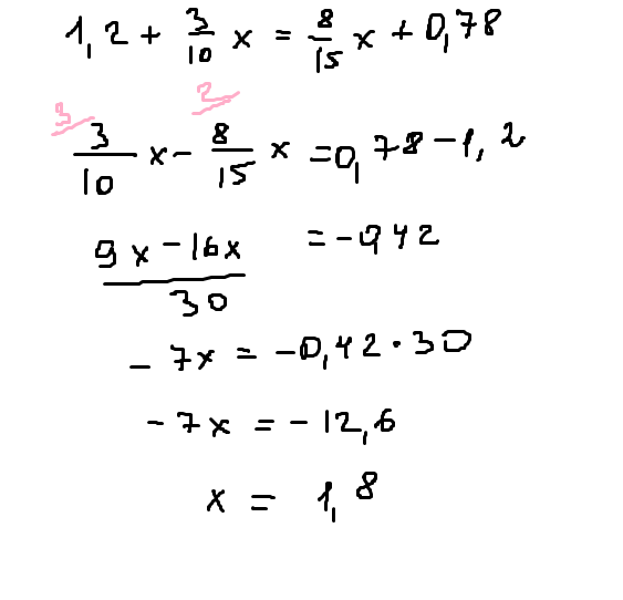
как решить уравнение 1,2+310х=815х+0,78,....получится 18,но как решить незнаю:(

Ответы

Ответ дал: esmilya
0
условие правильно записано?
Приложения:
Ответ дал: KorolAnastasua
0
ну окща
Ответ дал: esmilya
0
мне надо уйти, буду часа через 2...........
Ответ дал: KorolAnastasua
0
часа?
Ответ дал: KorolAnastasua
0
Оо
Вас заинтересует
11 лет назад