• Предмет: Алгебра
  • Автор: iulllis
  • Вопрос задан 8 лет назад

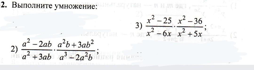
Пожалуйста решите примеры, если можно, с подробным решением,,​

Приложения:

Ответы

Ответ дал: tastaandreeva
0

Ответ:

2) а*(а-2b)/a*(a+3b)*ab*(a+3b)/a²*(a-2b)

b/a

3) (x-5)*(x+5)/x*(x-6)*(x-6)*(x+6)/x*(x+5)

x-5/x*x+6/x

(x-5)*(x+6)/x²

x²+6x-5x-30/x²

x²+x-30/x²

Вас заинтересует